Có thể tạo lỗ đen tại LHC ?
Chúng ta đang nói ở đây về những lỗ đen vi mô, có kích thước so sánh được với những hạt cơ bản. Đó là những lỗ đen lượng tử. Người ta hy vọng tạo được các lỗ đen mini tại LHC (Large Hadron Collider) bằng cách cho va chạm hai proton ở năng lượng cao. Trước đây các nhà vật lý vẫn cho rằng điều này là ngoài tầm của LHC, song các công trình của một bộ ba tác giả1 đã mở ra triển vọng cho vấn đề này.
1/ Lỗ đen
Sự tồn tại của lỗ đen đã được tiên đoán bởi J.R. Oppenheimer và H. Snyder từ năm 1939 như một hệ quả kỳ lạ song tất yếu của lý thuyết hấp dẫn Einstein. Từ đó phát sinh một ngành mới của vật lý học, đó là vật lý các lỗ đen. Hãy tìm bán kính lỗ đen. Động năng của vật thể phải thắng thế năng thì vật mới thoát khỏi thiên thể: (1/2)mv2=GmM/Rm, M – khối lượng của vật thể và thiên thể.
Từ đó có: v = (2GM/R)1/2
Đối với ánh sáng, ta có c = (2GM/R)1/2, do đó bán kính tới hạn – bán kính lỗ đen – sẽ là: Rg=2GM/c2
Liệu có thể tạo lỗ đen trong phòng thí nghiệm?
Khi nói đến lỗ đen, người ta nghĩ đến những vật thể với khối lượng khổng lồ có khả năng nuốt những con tàu vũ trụ, và cả những sao chung quanh. Nhưng liệu những lỗ đen có thể tạo được nhờ những máy gia tốc năng lượng cao, ví dụ máy LHC (Large Hadron Collider) tại trung tâm CERN, gần Geneva.
Việc tạo được lỗ đen trong phòng thí nghiệm sẽ mở ra nhiều khả năng nghiên cứu lỗ đen một cách hiệu quả. Trên máy LHC, một proton có thể được gia tốc đến năng lượng 7 tera electron – volt, năng lượng này theo công thức nổi tiếng của Einstein E=mc2 tương đương với khối lượng 10-23 kg (7.000 lần khối lượng của proton). Khi hai hạt va chạm nhau, năng lượng của chúng sẽ tập trung vào một vùng không gian rất nhỏ. Cho nên người ta hy vọng rằng sự va chạm của hai hạt như thế có thể dẫn đến sự hình thành một lỗ đen mini (xem hình 1).
![]() Hình 1. Hai proton va chạm nhau có thể tạo nên một lỗ đen mini. |
Song khối lượng 10-23 kg còn quá khiêm tốn với trị số Planck 10-8 kg (trị số nhỏ nhất có thể của một lỗ đen). Muốn cho một hạt vừa có năng lượng rất cao vừa phải có kích thước compắc để có thể tạo nên một lỗ đen, hạt cần phải có năng lượng Planck nghĩa là cần một năng lượng lớn hơn năng lượng của LHC khoảng 1015 lần!
Trong những nghiên cứu gần đây, các nhà vật lý cho rằng đòi hỏi năng lượng Planck là một đòi hỏi quá cao. Lời giải hiện nay cho vấn đề dựa trên các lý thuyết sau đây1.
2/ Các chiều dư (Extra Dimensions)
Theo LTD (Lý Thuyết Dây – một lý thuyết được xem là có khả năng trở thành TOE – Theory Of Everything), ngoài không – thời gian 4 chiều còn có những chiều dư. Hấp dẫn, không giống như những lực khác, có khả năng truyền dẫn trong những chiều dư ấy. Trong không gian 3 chiều lực hấp dẫn tăng lên 4 lần, nếu ta giảm khoảng cách giữa hai vật xuống còn một nửa, song trong không gian 9 chiều lực hấp dẫn tăng lên 256 (= 28) lần.
Như chúng ta biết ngoài 4 chiều không thời gian còn có thể tồn tại nhiều chiều dư nữa. Trong LTD, số chiều dư có thể là 6 hay 7 chiều.
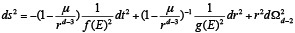
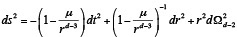
Từ lời giải Schwarzschild cho lỗ đen trong không thời gian 4-chiều2:
ta có thể suy ra lời giải đó trong không thời gian d-chiều:
![]()
trong đó μ = khối lượng trong không gian d-chiều còn Ω = thể tích.
3/ Các hàm cầu vồng (Rainbow Functions)
Lỗ đen mini là một đối tượng lượng tử, vậy ta cần có lý thuyết hấp dẫn lượng tử. Song lý thuyết này chưa có. Vậy phải nghĩ cách hạn chế làm cho năng lượng không thể lớn hơn năng lượng Planck EPl, từ đó độ dài cũng không thể nhỏ hơn độ dài Planck tương ứng lPl. Như vậy năng lượng và độ dài không còn liên tục nữa. Có thể nói đây là một bước đầu làm hòa hợp GR (General Relativity) và QM (Quantum Mechanics).
Ý tưởng chính là làm thế nào để hạn chế không cho năng lượng vượt một giới hạn nhất định đó là EPl.
Trong SR (Special Relativity), người ta đưa vào điều kiện buộc năng lượng E không thể vượt quá năng lượng Planck EPl (như vậy độ dài cũng không thể ngắn hơn độ dài Planck lPl ). Muốn làm điều đó ta thay công thức quen thuộc E2-p2=m2 bằng công thức E2f(E)2-p2g(E)2 = m2
Trong đó các hàm f&g gọi là các hàm cầu vồng (rainbow functions). Một dạng thông dụng của f&g là các hàm Amelino-Camelia: f(E)2=1 và g(E)2= =1-η(E/EPl)n, trong đó n=số nguyên >0, η= hằng số cỡ đơn vị. Người ta thường lấy n= η=1, vậy E2-p2+p2(E/EPl)=m2 và ta có hệ thức nối liền năng xung lượng dưới dạng E2=p2+m2 +α lPlE3, trong đó α = hằng số. Ta thấy rõ nhờ hàm g mà E < EPl.
Từ SR sử dụng thêm các hàm f & g, ta sẽ có lý thuyết gọi là DSR (Doubly Special Relativity). Trong DSR ta đã áp đặt được các hạn chế E < EPl (và từ đó l > lPl ).
4/ Hình học không giao hoán (Non Commutative Geometry)
Chú ý rằng muốn hạn chế vùng giá trị của năng lượng và độ dài (E & l), người ta còn có thể ngoài phương pháp trên (dùng các hàm cầu vồng) sử dụng hình học không giao hoán.
Muốn làm điều này, ta đưa vào SR một nguyên lý bất định (như nguyên lý Heisenberg đối với xung lượng và tọa độ trong QM) để khống chế việc đo vị trí với một độ chính xác không nhỏ hơn độ dài Planck lPl .
Trong NCG các tọa độ sẽ không giao hoán:
[xi , xj ] = θij
∆xi∆xj ≥ ǀθijǀ
Nhờ hệ thức không giao hoán trên mà độ dài không thể xác định với độ chính xác nhỏ hơn một trị số nhất định. Vậy độ dài minimum do đó cũng không thể nhỏ hơn trị số đó.
Điều này sẽ dẫn đến sự hạn chế tương ứng năng lượng không vượt quá một năng lượng nào đó (EPl). Vậy việc sử dụng hình học không giao hoán sẽ tương đương với việc sử dụng các hàm cầu vồng f & g trong việc hạn chế vùng giá trị của E & l.
5/ Lời giải Schwarzschild lỗ đen trong HDCV (hấp dẫn cầu vồng-Gravity’s Rainbow)
Thế nào là HDCV? Trong lý thuyết HDCV thì tác động của hấp dẫn sẽ gây nên những hiệu quả khác nhau trên các độ dài sóng khác nhau. Và như thế các hạt với năng lượng khác nhau sẽ chuyển động khác nhau. Lý thuyết HDCV nhằm làm hòa hợp GR và QM.
Sở dĩ có tên cầu vồng vì các sóng ánh sáng với độ dài sóng khác nhau sẽ chịu các tác động khác nhau của hấp dẫn tương tự như các màu sắc khác nhau trong một cái cầu vồng (xem hình 2).
![]() Hình 2. Trên hình ảnh nghệ thuật của Hấp Dẫn Cầu Vồng, ta thấy đủ các màu đỏ (red), cam (orange), vàng (yellow), xanh lá cây (green), xanh da trời (blue), chàm (indigo) và tím (violet). |
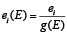
Có thể nói HDCV là sự kết hợp DSR với hấp dẫn. Muốn thực hiện điều này ta cần làm cho metric phụ thuộc vào năng lượng. Trong HDCV metric phải được thay bằng g(E) = gijei(E)ej(E), trong đó
![]()
với ei thuộc hệ tọa độ không phụ thuộc năng lượng.
Vậy lời giải Schwarzschild lỗ đen trong d-chiều có kết hợp với HDCV sẽ là:
![]()
Từ đó các tác giả1 suy ra bán kính chân trời (horizon radius), và khối lượng minimum Mmin.
6/ Tạo lỗ đen tại LHC
Từ Mmin ta suy ra năng lượng cần thiết để tạo nên lỗ đen. Kết quả như sau1:
D Mp [TeV] Mmin [Tev]
6 4,54 9,5
7 3,51 10,8
8 2,98 11,8
9 2,71 12,3
10 2,51 11,9
Nếu không dùng lý thuyết của1 thì phải cần đến 1019 GeV để tạo nên lỗ đen. Nhưng giờ đây nhìn vào bảng trên ta thấy có thể tạo lỗ đen tại mức năng lượng 9,5 TeV trong không thời gian 6 chiều và tại mức năng lượng 11,9 TeV trong 10 chiều. Điều này trong tầm thế năng của LHC vì trong tương lại gần LHC sẽ đạt mức năng lượng 13 TeV.
Và ta có thể nói đến một Hấp dẫn Lượng tử ở kích cỡ TeV khi tạo các lỗ đen tại LHC trong tương lai rất gần lúc LHC nâng mức năng lượng lên 13 TeV.
7/ Kết luận
Việc tạo được các lỗ đen mini sẽ chứng minh rằng: tồn tại những chiều dư (extra dimension), vậy LTD là đúng và từ đó có thể cũng tồn tại Đa vũ trụ.
Các lý thuyết về các chiều dư + Hấp dẫn Cầu vồng (Gravity’s Rainbow) hoặc Hình học không giao hoán (Non Commutative Geometry) là những tiếp cận khác nhau (alternative) có thể dẫn đến việc tạo các lỗ đen mini trên LHC trong tương lai gần.
——————-
Tài liệu tham khảo
1 Ahmed Farag Ali ,Mir Faizal , Mohammed M. Khalil,Absence of Black Holes at LHC due to Gravity’s Rainbow,Phys.Letters B vol.743,9 April2015,pages 295-300 arXiv:1410.4765v2 [hep-th] 27 Feb 2015
2 S.Caroll, Lecture Notes on General Relativity
THE SCHWARZSCHILD SOLUTION AND BLACK HOLES
https://ned.ipac.caltech.edu/level5/March01/Carroll3/Carroll7.html


